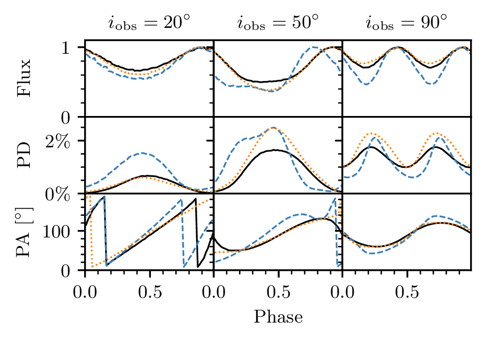
Recently, the Observational High Energy Astrophysics group led by Professor Wenfei Yu at the Shanghai Astronomical Observatory (SHAO), in collaboration with Associate Professor Wenda Zhang of the National Astronomical Observatories of China (NAOC), has made a milestone achievement in the core science of X-ray timing astronomy -- co...
04 14, 2026A research team led by the Shanghai Astronomical Observatory (SHAO) of the Chinese Academy of Sciences has conducted high-resolution observations on the microquasar GRS 1915+105 with the East Asian VLBI Network (EAVN). The findings were published online on March 25, 2026, in The Astrophysical Journal Letters.
04 09, 2026Recently, the Tianma Radio Telescope (TMRT) team at the Shanghai Astronomical Observatory (SHAO) of the Chinese Academy of Sciences, leveraging the telescope’s unique "dual-band simultaneous observation" capability, conducted simultaneous observations of the magnetar XTE J1810−197 at 2.25 GHz and 8.60 GHz over a span of more than...
04 03, 2026A research team from the Planetary Physics and Magnetohydrodynamics Group, in collaboration with scientists from the Earth's Rotation Variation Group at the Shanghai Astronomical Observatory, Chinese Academy of Sciences, has achieved a significant breakthrough in the study of atmospheric dynamics on gaseous giants. For the first ti...
03 31, 2026Recently, the research on astronomical plate digitization and astrometric analysis, carried out by the Shanghai Astronomical Observatory (SHAO) of the Chinese Academy of Sciences in cooperation with the Ulugh Beg Astronomical Institute (UBAI) of the Academy of Sciences of Uzbekistan, has been published in the Monthly Notices of the...
03 31, 2026Recently, researchers from the Shanghai Astronomical Observatory of the Chinese Academy of Sciences conducted high-sensitivity radio observations of the interstellar comet 3I/ATLAS using the Tianma Telescope, marking the first observation of an interstellar object by this facility. The study reveals that this small body, originatin...
03 18, 2026Recently, significant findings in asteroid spectral research, led by the Shanghai Astronomical Observatory of the Chinese Academy of Sciences in collaboration with multiple institutions including the Macau University of Science and Technology and the University of Winnipeg in Canada, were published online in the international astro...
03 10, 2026A recent study using the Atacama Large Millimeter/submillimeter Array (ALMA) has provided new insights into the magnetic field structures within two massive clumps in the 20 km/s cloud of the Central Molecular Zone (CMZ) of the Milky Way. By combining high-resolution polarization observations from ALMA with previous data from the J...
02 26, 2026Astronomers have captured the central region of our Milky Way in a striking new image, unveiling a complex network of filaments of cosmic gas in unprecedented detail. Obtained with the Atacama Large Millimeter/submillimeter Array (ALMA), this rich dataset—the largest ALMA image to date—will allow astronomers to probe the lives of...
02 25, 2026Recently, researchers at the Shanghai Astronomical Observatory (SHAO), Chinese Academy of Sciences, published their findings on a newly developed high-precision plate digitization instrument in the international astronomical journal Publications of the Astronomical Society of the Pacific (PASP), under the title “A New Astronomical...
02 24, 2026A team of Chinese astronomers has discovered that the Milky Way’s dark matter halo stands upright, suggesting that our galaxy’s disk may have flipped in the past few billion years due to cosmic interactions.
02 14, 2026Recently, an international research team led by the Shanghai Astronomical Observatory (CAS), in collaboration with institutions from China, South Korea, and Europe, conducted a comprehensive observational study of massive star-forming regions in the Milky Way using the Shanghai Tianma Radio Telescope (TMRT) and the Spanish Yebes 40...
02 13, 2026Currently, Han's group has built a fully relativistic gravitational wave calculation model for asymmetric binary systems based on this new method, which is now the most precise and fastest fully relativistic waveform template. This template can be directly applied to data analysis for China's future space-based gravitational wave d...
02 02, 2026Recently, a research team led by the Shanghai Astronomical Observatory of the Chinese Academy of Sciences, in collaboration with Princeton University, the Institute of Science Tokyo, and the University of California, Santa Cruz, has made significant progress in the study of planetary accretion and migration. The related work, title...
01 22, 2026Its retrograde nearly ecliptic orbit (i ≈ 175°) combined with a relatively small perihelion distance (q ≈ 1.36 AU) effectively directs the interloper "against traffic" through the densely populated regions of the inner Solar System. This significantly increases the probability of close encounters and potential interaction (inclu...
01 22, 2026